Differentiation Questions for iGCSE Additional Maths Cambridge (0606)

Studying for your Additional Maths iGCSE?

On this page you'll find plenty of past paper questions on differentiation for the Additional Maths iGCSE (0606) Cambridge iGCSE.

Students must be able to differentiate polynomials as well as the functions e^x, ln x, sin x, cos x, and tan x.

Students must also be able to apply the product rule, quotient rule, and chain rule to differentiate products, quotients, and composite functions.

Students should be able to apply these skills to find gradients, tangents, normals, stationary points and the nature of the stationary points.

Finally students should be able to apply differentiation to connected rates of change, small increments, and approximations as well as to practical problems including maxima and minima.

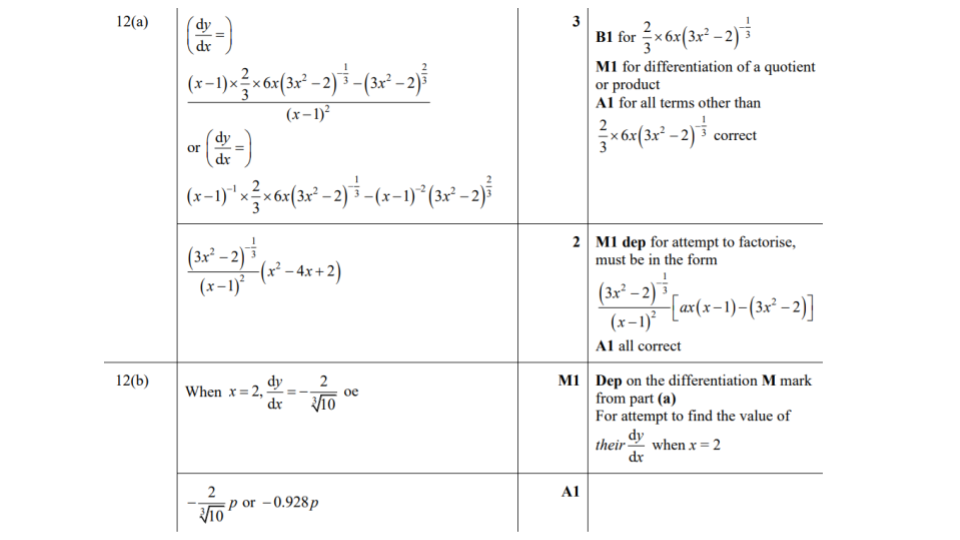
Differentiation Past Paper Questions

These sets of questions include differentiation of polynomials, composite functions, products, and quotients only. Students will need to know how to find gradients, tangents, normals, and stationary points.

Question 1

Question 1

Differentiation Past Paper Questions with e^x, ln x, sin x, cos x, and tan x

These sets of questions include differentiation of functions including e^x, ln x, sin x, cos x, and tan x as well as products and quotients including these functions.

Question 1

Question 1

Differentiation Problem Solving Questions

These sets of questions include differentiation of functions including e^x, ln x, sin x, cos x, and tan x as well as products and quotients including these functions.

Question 1

Question 1